Remember That Time When Fact Checkers Said That “Luciferase” In the Shots Was Just a “Conspiracy?” SURPRISE! (Wait. You're supposed to be surprised....)
The recent PHMPT Freedom of Information Act drop says otherwise. Your tin foil hat wearing friends were right. AGAIN. And you owe them an apology. AGAIN. Is this getting old yet...?
NOTE.
If I do use the word “vaccine” I will do so in quotes because these shots we are discussing herein are NOT “vaccines.”
No virus has EVER been isolated.
In order to prove that a virus causes contagion, one must first isolate a virus and then prove that it spreads illness in the way one is claiming it spreads illness.
This has never happened.
Contagion was never proven, and the burden of proof is on those making extraordinary claims.
We do have PROOF, however, that the CDC admits to not having any evidence of any virus ever having been isolated - not just SARS-CoV-2, but ANY VIRUS EVER.
I will include more information about this in the Additional Resources section below.
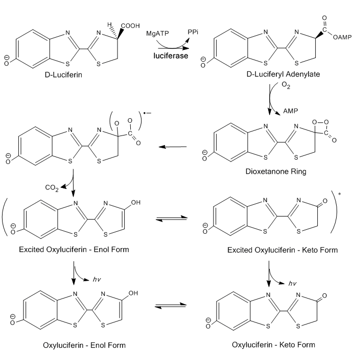
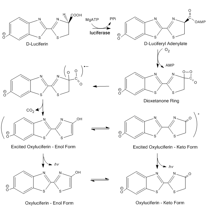
LUCIFERASE.
Luciferase is a bioluminescence emitting enzyme. It is often used to tag small things like cells or proteins so that you can track them. It makes them glow. Hence, “luciferase.” Like the morning star.
And yes, contrary to ALL of the disinformation you have heard indicating otherwise, luciferase IS in the shots….
Public Health and Medical Professionals for Transparency (PHMPT) is a nonprofit made up of public health professionals, medical professionals, scientists, and journalists. They created their nonprofit to obtain and disseminate the data relied upon by the FDA to license COVID-19 “vaccines.”
According to PHMPT, four days after the Pfizer “vaccine” was approved for ages 16+, they submitted a Freedom of Information Act request to the FDA to obtain all of the data within Pfizer’s COVID-19 “vaccine” biological product file. They then sued the FDA for failure to release the data.
PHMPT has provided an account of their court filings here. And they host a portal to access the Pfizer data they have accumulated via their FOIA request here.
Lo and behold! Part of the data they have received includes the following report which acknowledges that luciferase is, in fact, in the shot ingredients:
Imagine that….
Please offer up an apology to your local “conspiracy theorist” today.
And, you know… buy them a cup of coffee.
Be nice to them. They haven’t had a break in two years….
RECAP.
Luciferase was never listed in the shot ingredients on the CDC website. Big Pharma never disclosed that luciferase was an ingredient in the shots either. And Moderna never disclosed $20 million in federal funding for the patents they filed.
DARPA funded implantable biochips that could potentially be used to deploy Moderna’s “mRNA vaccine.” DARPA is now locked in a legal battle with Moderna over who owns the rights to the “vaccine.” Documents suggest that NIH owns half of the patent in question.
DARPA worked with Big Pharma to create hydrogels and nanotech that send fluorescent signals to an app on smartphones to tag and track people. “Vaccine” passports track you with QR codes. Biometric IDs and quantum dot tattoos are in the works.
The nanotechnology used in these “vaccines” may act as a digital barcode at the protein level and can be used to deploy remote precision medicine. This functionality would mean that they could deliver drugs to your body from anywhere you are in the world.
If you’re paying any attention literally AT ALL, you already know the goal is to build a tyrannical global totalitarian surveillance state.

This is nothing new.
And if it is…. Hi, Pumpkin! Welcome to the party….
The pathway forward The Nanny State would like to take is obvious. In their dystopian wet nurse dream, you will not be able to buy or sell anything without being tagged and tracked.
Revelations isn’t a prophecy; these “people” (and I use that term loosely) are using it as a playbook to harness the effect of your long held beliefs in order to scare you into capitulation.
FUN! Where do I sign up?!
Who let these “people” have power?!
Shit… we’re all assholes.
I’m surrounded by assholes….
FOOD FOR THOUGHT.
As we see more regions, states, and countries do away with restrictions and outlaw “vaccine” passports, we have to wonder if this might be because passports are not necessary anymore when one’s body already sends out a signal post-injection.
Why would there be any need at all for external tracking if the body already emits a traceable signal from within?
We’ve also seen how easy it is for governments to shut down access to the bank accounts of dissenters en masse who are merely exercising their rights to peaceful protest. This should raise a massive red flag.
Don’t let your guard down yet. The possibility that measures are being taken to create a false sense of security needs to be on our radars moving forward. The complacent make for easy targets.
Special thanks to JaeIn Lee, Pum Carver, and Tim the Enchanter.
ADDITIONAL RESOURCES.
Bernelin-Cottet, C. (2019). Electroporation of a nanoparticle-associated DNA vaccine induces higher inflammation and immunity compared to its delivery with microneedle patches in pigs. Science Direct.
Biospace. (2018). Polyplus-transfection(R) launches a powerful nanotechnology for DNA transfection composed of jetOPTIMUS(R) reagent. BioSpace.
Cowan, T. Breaking the Spell: The Scientific Evidence for Ending the Covid Delusion. Dr. Thomas Cowan, MD. 2021.
Cowan, T. (2021). Dr. Tom Cowan - Session 1: The Contagion Myth. BitChute.
Dean, D. (2003). Electroporation as a method for high-level nonviral gene transfer to the lung. PMC.
Gazdhar, A. (2006). In vivo electroporation and ubiquitin promoter--a protocol for sustained gene expression in the lung. National Library of Medicine.
Guenot, M. (2021). A sensor injected under the skin, backed by DARPA, is meant to spot COVID-19 days before symptoms appear. Insider.
Hajj, K. (2020). A Potent Branched-Tail Lipid Nanoparticle Enables Multiplexed mRNA Delivery and Gene Editing In Vivo. ACS Publications.
Heilman, Z. (2021). Pfizer Whistleblower Claims Vaccines Glow, Contains Graphene Oxide Or Luciferase, It’s ALL An Experiment. Red Voice Media.
Heilman, Z. (2021). PROOF: LUCIFERase Found In COVID Vaccine Company Patent, Satanic Big Pharma Company? Red Voice Media.
Ikeda, Y. (2016). Design of luciferase-displaying protein nanoparticles for use as highly sensitive immunoassay detection probes. National Library of Medicine.
In Search of Truth. (2021). Dr Carrie Madej Luciferase Micro Needle Patch Proof Of Vaccination. Rumble.
Just News. (2022). Dr. Carrie Madej: Luciferase & Darpa Hydrogel - Industry 4.0. Rumble.
Kaufman, A. (2022). Terrain. Terrain the Film.
Kheirolomoom, A. (2010). 1st Transfection Method: Lipid based Transfection Method: Lipid (Luciferase Gene) Enhanced in vivo bioluminescence imaging using liposomal luciferin delivery system. PMC.
Kim, K. (2017). Electroporation for nanomedicine: a review. Royal Society of Chemistry.
Kim, Y. (2010). Bioluminescent nanosensors for protease detection based upon gold nanoparticle–luciferase conjugates. PMC.
Mezzanote, L. (2014). A novel luciferase fusion protein for highly sensitive optical imaging: from single-cell analysis to in vivo whole-body bioluminescence imaging. Springer Link.
Millet, J. (2019). Production of Pseudotyped Particles to Study Highly Pathogenic Coronaviruses in a Biosafety Level 2 Setting. Jove.
ModernaTX, Inc. (2019). Modified polynucleotides for the production of secreted proteins. JUSTIA Patents.
Nath, N. (2017). Development of NanoLuc bridging immunoassay for detection of anti-drug antibodies. Science Direct.
New Tech. (2022). Examination of various vaccines under a microscope. Rumble.
NIH. (2020). NIH COVID-19 Lecture: Nucleic Acid Delivery Systems for RNA Therapy and Gene Editing. NIH.
The Pete Santilli Show. (2021). EP 2597 6PM Dr. Carrie Madej Darpa's Hydrogel Vaccine Technology Trans-humanism & DNA Alteration. Rumble.
Rai, R. (2019). Polymeric Nanoparticles in Gene Therapy: New Avenues of Design and Optimization for Delivery Applications. PMC.
Rogers, K. (2007). Non-Invasive In Vivo Imaging of Calcium Signaling in Mice. PLoS One.
Schweitzer, D. (2019). NanoLuc: Tiny Tag with a Big Impact. Promega Connections.
Shubhra, Q. (2018). Preliminary in vivo magnetofection data using magnetic calcium phosphate nanoparticles immobilizing DNA and iron oxide nanocrystals. Science Direct.
Tenchov, R. (2021). Understanding the nanotechnology in COVID-19 vaccines. CAS.
Thrivetime Show: Business School Without The BS. (2021). Dr. Christiane Northrup | What’s In the COVID-19 Vaccines? Why You Should Not the SM-102, Luciferase and Nano-Technology Filled RNA-Modifying COVID-19 Vaccines. Rumble.
Trafton, A. (2019). Storing medical information below the skin’s surface. MIT News.
Vesuna, F. (2005). Enhanced green fluorescent protein as an alternative control reporter to Renilla luciferase. PMC.
Xu, X. (2016). Calcium phosphate nanoparticles-based systems for siRNA delivery. Oxford Academic.
Zhang, J. (2019). Lipid-mRNA Nanoparticle Designed to Enhance Intracellular Delivery Mediated by Shock Waves. PMC.
Zhang, X. (2020). Functionalized lipid-like nanoparticles for in vivo mRNA delivery and base editing. National Library of Medicine.
Zhao, Y. (2016). Lipid Nanoparticles for Gene Delivery. PMC.
Zu, Y. (2014). Gold Nanoparticles Enhanced Electroporation for Mammalian Cell Transfection. PMC.






